Κόμβος Μαθηματικών-Φυσικής-Χημείας
Mathematics-Physics-Chemistry Combo
kombosmfx[at]kombosmfx[.]gr
από τον Σπυρίδωνα Βώσσο - by Spyridon Vossos

Αρχική - Home

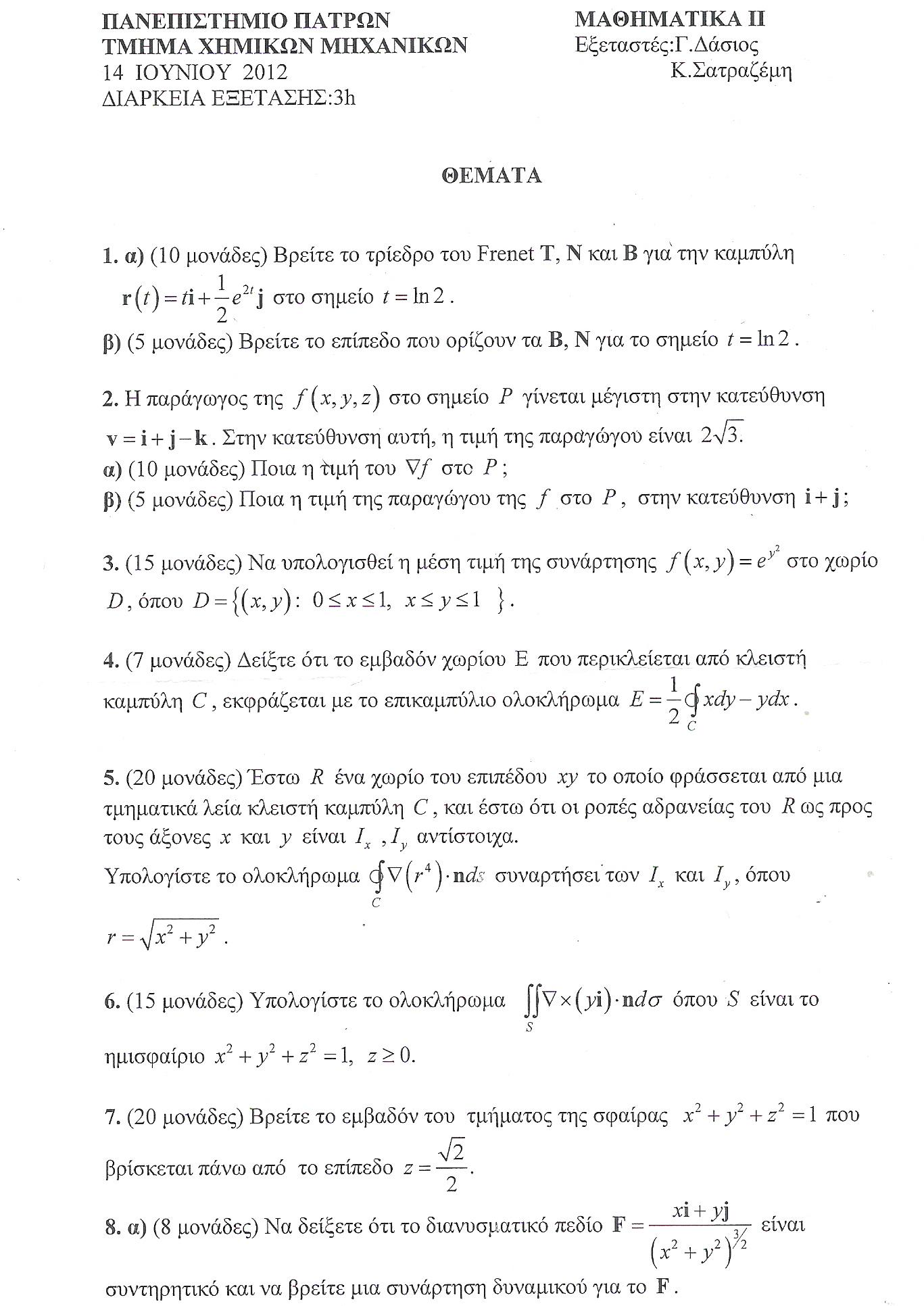
Θέματα_Εξετάσεων_Μαθηματικά ΙΙ-Χημικοι_Μηχανικοι-Πατρα-Ιουν2012-Αθανασιος-σ1,2.jpg
Examination_Test_MathematicsII-ChemicalEngineers-Patras-June2012-Athanasios-p1,2.jpg

Θέματα_Εξετάσεων_Μαθηματικά ΙΙ-Χημικοι_Μηχανικοι-Πατρα-Ιουν2012-Αθανασιος-Θέματα_Εξετάσεων_Μαθηματικά ΙΙ-Χημικοι_Μηχανικοι-Πατρα-Ιουν2012-Αθανασιος-